Loading...
Species‐level image classification with convolutional neural network enables insect identification from habitus images
Citations
Altmetric:
Advisors
Editors
Other Contributors
Affiliation
EPub Date
Issue Date
2019-12-24
Submitted Date
2020-03-31
Subject Terms
arthropod sampling
automatic species identification
camera trap
entomological collection
image classification
image database
automatic species identification
camera trap
entomological collection
image classification
image database
Collections
Files
Research Projects
Organizational Units
Journal Issue
Other Titles
Abstract
1. Changes in insect biomass, abundance, and diversity are challenging to track at
sufficient spatial, temporal, and taxonomic resolution. Camera traps can capture
habitus images of ground-dwelling insects. However, currently sampling involves
manually detecting and identifying specimens. Here, we test whether a convolutional neural network (CNN) can classify habitus images of ground beetles to
species level, and estimate how correct classification relates to body size, number
of species inside genera, and species identity.
2. We created an image database of 65,841 museum specimens comprising 361
carabid beetle species from the British Isles and fine-tuned the parameters of a
pretrained CNN from a training dataset. By summing up class confidence values
within genus, tribe, and subfamily and setting a confidence threshold, we trade-off
between classification accuracy, precision, and recall and taxonomic resolution.
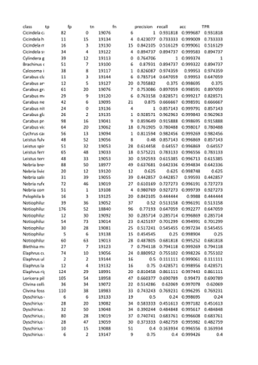
3. The CNN classified 51.9% of 19,164 test images correctly to species level and
74.9% to genus level. Average classification recall on species level was 50.7%.
Applying a threshold of 0.5 increased the average classification recall to 74.6% at
the expense of taxonomic resolution. Higher top value from the output layer and
larger sized species were more often classified correctly, as were images of species in genera with few species.
4. Fine-tuning enabled us to classify images with a high mean recall for the whole
test dataset to species or higher taxonomic levels, however, with high variability.
This indicates that some species are more difficult to identify because of properties such as their body size or the number of related species.
5. Together, species-level image classification of arthropods from museum collections
and ecological monitoring can substantially increase the amount of occurrence
data that can feasibly be collected. These tools thus provide new opportunities in
understanding and predicting ecological responses to environmental change.
Citation
Hansen, OLP, Svenning, J‐C, Olsen, K, et al. Species‐level image classification with convolutional neural network enables insect identification from habitus images. Ecol Evol. 2020; 10: 737– 747. https://doi.org/10.1002/ece3.5921
Publisher
Journal
Research Unit
PubMed ID
PubMed Central ID
Embedded videos
Type
Journal Article
Item Description
This is an open access article under the terms of the Creative Commons Attribution License, which permits use, distribution and reproduction in any medium,
provided the original work is properly cited.
© 2019 The Authors. Ecology and Evolution published by John Wiley & Sons Ltd.
The attached file is the published pdf.
NHM Repository
NHM Repository
Series/Report no.
ISSN
2045-7758
EISSN
2045-7758